Bonsoir!
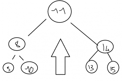
L'essentiel est dans le titre, mais voilà, j'ai un arbre binaire comme sur l'image ici présente:
Je veux, en connaissant la feuille, que le programme me donne le chemin feuille alpha --> racine.
Mais voilà, comme mon arbre est créer de façon récursive, je ne peux faire une recherche à l'envers, donc comment pourrais-je procéder svp?
[R] Remonter un arbre binaire
Règles du forum
- Merci de consulter la section "Règles du forum" et plus particulièrement "Règles et Mentions Légales du site autoitscript.fr" avant d'écrire un message.
[R] Remonter un arbre binaire
Modifié en dernier par sozary le mar. 11 nov. 2014 13:13, modifié 1 fois.
"Là où la volonté est grande, les difficultés diminuent.", Niccolò Machiavelli
Re: [..] Remonter un arbre binaire
tu dois enregistrer la branche supérieure dans la branche actuel et ainsi de suite si tu veux remonter.
Code : Tout sélectionner
$tab[4] = ["tableau supérieur", "donnée de la feuille", "tableau feuille gauche", "tableau feuille droite"]Re: [..] Remonter un arbre binaire
Merci! Tout simple
!
"Là où la volonté est grande, les difficultés diminuent.", Niccolò Machiavelli


